Aplica el pensamiento critico y reflexivo analizando el concepto de circunferencia y sus elementos en diferentes situaciones contextuales
Subtemas
- Lugar geométrico de la circunferencia
- Ecuación de la circunferencia
- Ecuación de la forma ordinaria de la circunferencia
- Ecuación de la forma general de la circunferencia
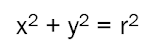
Ecuación de la circunferencia cuando el centro coincide con el origen es decir (0,0)
![]() |
| Ecuación 1 |
La gráfica la pueden encontrar de la siguiente manera y es pendiendo el radio de esta tenga.
Para determinar la ecuacion ordinaria y su gráfico de la circunferencia con centro en el origen (0,0), deben utilizar la ecucación 1 arriba mencionada
Ejemplo: Determine la ecuación ordinaria de la circunferencia y su gráfica con un centro en el origen y radio 6
Los pasos a seguir son los siguientes
- Ubica los datos que tienes
- Si se sabe que esta en el centro entonces las coordenadas del son (0,0)
- El radio es 4 r = 4
- sustituimos los valores en la ecuación ordinaria 1 ☝
- Desarrollas los valores necesario y
- Finalmente realiza en el plano cartesiano la gráfica
Revisa a detalle el desarrollo 👀👇
x^2 + y^2 = r^2
x^2 + y^2 = 4^2
x^2 + y^2 = 16 ésta es la ecuación ordinaria de la circunferencia
por último realiza el gráfico mostrando el radio de tu circunferencia a partir del centro y traza

